EBOOK
  • Dmca
  • Contact
  • Privacy Policy
  • Copyright

Statics Meriam 7th Edition Solution Manual Pdf

2

2

Mechanic Of Materials 6th Edition Solution

Mechanic Of Materials 6th Edition Solution

Pdf Engineering Mechanics Dynamics 7th Edition Solutions Manual

Pdf Engineering Mechanics Dynamics 7th Edition Solutions Manual

Meriam Statics 7th Edition Solution Searched For The Ebook Meriam

Meriam Statics 7th Edition Solution Searched For The Ebook Meriam

Engineering Mechanics Statics Meriam James L Kraige L G

Engineering Mechanics Statics Meriam James L Kraige L G

Engineering Mechanics Statics Meriam 7th Solution Manual By
2509 Meriam Mechanics Statics Solution Manual 7th Wiring Library
Mandk Wk2 Statics Meriam J L Kraige L G Engineering Mechanics
Solution Of Engineering Mechanics Statics By Jl Meriam
Engineering Mechanics Statics Solutions 7th Edition لم يسبق له
Engineering Mechanics Statics 7th Edition Solution Manual Pdf لم
Engineering Mechanics Statics 7th Edition Si Version
Ff1 Engineering Mechanics Dynamics 7th Edition Solution Manual
Solution Manual To Engineering Mechanics Statics 2nv8dok90rlk
Dynamics 6th Ed Meriam Solution
Engineering Mechanics Statics Solution Manual Meriam Kraige Pdf
Dynamics 6th Ed Meriam Solution
Dynamics 6th Ed Meriam Solution
Engineering Mechanics Statics 7th Edition Solution Manual Pdf لم
Solution Manual To Engineering Mechanics Statics 2nv8dok90rlk
Vector Mechanics For Engineers Statics 7th Edition Solution Manual
What Will Be The Solutions Of The Problems 1 2 And 1 3 In
Engineering Mechanics Statics And Dynamics Solution Manual Pdf
Engineering Mechanics Statics Meriam 7th Edition Solutions Manual Pdf
Breal Blog
Statics Solution Manual Pdf
حل كتاب Engineering Mechanics Statics Meriam 5th Edition
Solution Manual Statics Meriam 7th Pdf لم يسبق له مثيل الصور
Https Www Studocu Com Hk Document Technische Universiteit Delft Statica Other Engineering Mechanics Statics J L Meriam 6th Edition Solution Manual 1184775 View
Engineering Mechanics Statics 7th Edition Solution Manual Pdf لم
Statics Meriam Kraige 7th Edition Solutions Edition Meriam Meriam
2
Engineering Mechanics Statics Meriam 7th Edition Solutions Manual
Solution Manual Of Engineering Mechanics Statics 5th Edition
Meriam Statics Solution Manual 7th Edition By Brucehwang4007 Issuu
Engineering Mechanics Statics Meriam 7th Edition Solution Manual
Meriam Statics Answers Pdf لم يسبق له مثيل الصور Tier3 Xyz
Week13 Statics Meriam J L Kraige L G Engineering Mechanics Vol 1
Meriam Kraige Engineering Mechanics Statics 7th Solution Manual By
Engineering Mechanics Statics 7th Edition J L Meriam L G
2
Extrandai Blog Archive Solution Manual For Engineering
Engineering Mechanics Dynamics 7th Edition Solutions Manual Meriam
Https Www Studocu Com Hk Document Technische Universiteit Delft Statica Other Engineering Mechanics Statics J L Meriam 6th Edition Solution Manual 1184775 View
Engineering Mechanics Statics J L Meriam L G Kraige Solution
Dynamics 6th Ed Meriam Solution
Engineering Mechanics Statics 7th Edition Solutions لم يسبق له
Engineering Mechanics Statics Solution Manual Meriam Kraige Pdf
Engineering Mechanics Dynamics 7th Edition J L Meriam L G Kr
1
Engineering Mechanics Dynamics 7th Editi
Engineering Mechanics Dynamics 7th Editi
Week13 Statics Meriam J L Kraige L G Engineering Mechanics Vol 1
Download Engineering Mechanics 6th Edition Solutions Ibook For
Engineering Mechanics Statics J L Meriam L G Kraige Solution
Https Www Studocu Com Hk Document Rijksuniversiteit Groningen Mechanics Other Solution Manual Engineering Mechanics Statics 12th Edition By Rchibbelerpdf Chapter 7 24390 View
Https Www Studeersnel Nl Nl Document Rijksuniversiteit Groningen Mechanics Overige Solution Manual Engineering Mechanics Statics 12th Edition By Rchibbelerpdf Chapter 6 24389 View
Meriam Statics 7th Edition Solution Searched For The Ebook Meriam
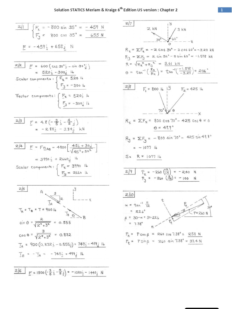
Solution Statics Meriam 6th Chapter02 For Print
Engineering Mechanics Statics 7th Edition J L Meriam L G
Solution Manual For Meriam Dynamics Chapter 3 Pdf Document
Meriam Kraige Dynamics 5th Edition Solution Manual
Solution Manual For Meriam Dynamics Chapter 3 Pdf Document
Engineering Mechanics Statics J L Meriam L G Kraige Solution Manual
J L Meriam L G Kraige Engineering Mechanics Statics
Engineering Mechanics Dynamics 7th Edition Solution Manual Meriam
Dynamics 7th Edition Meriam Kraige Solution Customers Keep Coming
Solutions To Engineering Mechanics Statics 9780470614730 Pg
Solution Manual Engineering Mechanics Ferdinand Singer Taxes
Engineering Mechanics Statics Solutions 7th Edition لم يسبق له
Solution Manual Wiley Meriam Statics 7th Ed With Images
Vector Mechanics For Engineers Statics 7th Edition Book
Pdf Engineering Mechanics Statics 7th Edition Solution Manual
Engineering Mechanics Statics Seventh Edition Solutions لم يسبق له
Wiley Engineering Mechanics Statics 8th Edition Si Version
Engineering Mechanics Statics 7th Edition Solutions لم يسبق له
Engineering Mechanics Dynamics 7th Editi
Meriam And Kraige Dynamics Solutions
Meriam Statics Solution Manual 4th Edition Dynamics 7th Edition
Engineering Mechanics Dynamics 7th Editi
Solutions Manual Vector Mechanics For Engineers Dynamics 7th Edition
Dynamics 6th Ed Meriam Solution
Engineering Mechanics Statics 7th Edition Solutions Download لم
Engineering Mechanics Statics J L Meriam L G Kraige Solution Manual
Solution Manual For Statics 7th Edition Meriam Kraige Youtube
Engineering Mechanics Statics J L Meriam L G Kraige Solution
Dynamics 6th Edition Meriam Kraige Solution Manual Chapter 1
Cd9 Engineering Mechanics Dynamics 7th Edition Meriam Solution
Statics Meriam Kraige 7th Edition Solutions Edition Meriam
Week13 Statics Meriam J L Kraige L G Engineering Mechanics Vol 1
Solution Manual Statics Meriam 7th Pdf لم يسبق له مثيل الصور
Engineering Mechanics Statics 7th Edition Solution Manual Meriam
Static Meriam 6th Edition Solution Pdf لم يسبق له مثيل الصور
Statics Meriam Solution Manual
Engineering Mechanics Statics 7th Edition Solution لم يسبق له مثيل
Pdf Engineering Mechanics Meriam Kraige 6th Edition Waseem
Engineering Mechanics Statics 7th Edition Meriam Kraige Solutions
Engineering Mechanics Dynamics 7th Editi
Dynamic Meriam 8th Edition Solution Pdf لم يسبق له مثيل الصور
Solutions Manual Engineering Mechanics Dynamics 13th Mechanics

Random Posts

  • Raymond R40tt Manual Pdf
  • Pearson Chemistry Workbook Answers Chapter 8 Pdf
  • Nelson Functions And Application 11 Solution Manual Pdf
  • Jeep Cherokee Repair Manual Pdf Free
  • Free Pdf Top Shelf Math Calculus Pdf
  • Hibbeler Dynamics 13th Edition Solutions Manual Pdf
  • Student Laboratory Notebook John Cullen Answers Pdf
  • General Information Suzuki Jimny Automatic Transmission Problems Pdf
  • Understanding Health Insurance 11ed Workbook Answers Pdf
  • Digital Bank Strategies To Launch Or Become A Digital Bank Pdf
Dmca Contact Privacy Policy Copyright

Download Or Reading Online Digital Bank Strategies To Launch Or Become A Digital Bank Pdf Here